乡村振兴背景下我国西部地区现代农业产业发展水平综合评价

Comprehensive Evaluation on the Development Level of Modern Agricultural Industry in Western China under the Background of Rural Revitalization

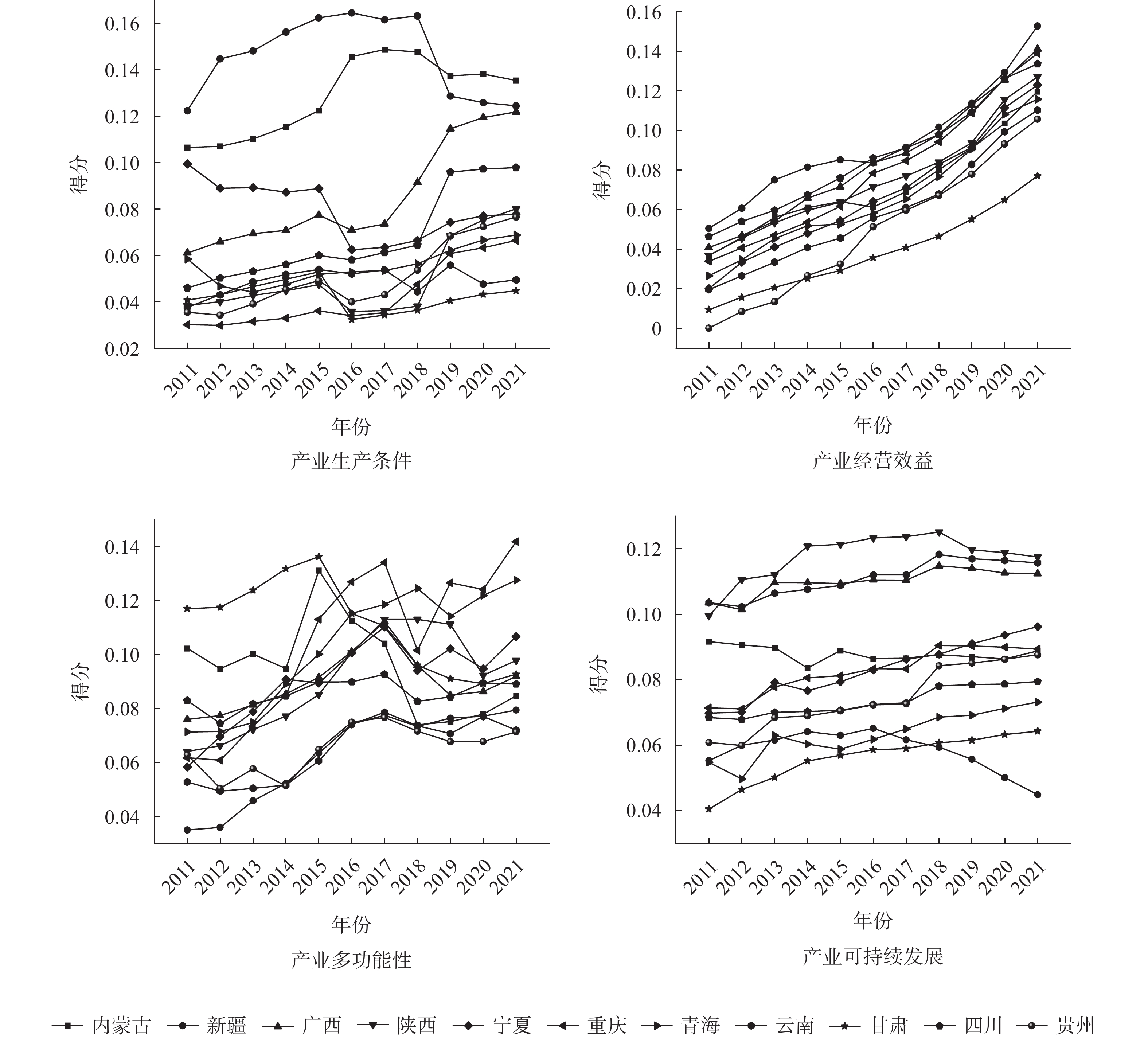
  • 摘要: 我国作为农业大国,现代农业产业发展水平直接影响着未来国家经济发展趋势以及关系着农业强国目标的实现。明确西部现代农业产业发展水平有助于全面建设农业强国,更好地推进全国乡村振兴战略目标的实现。本研究根据我国西部地区的资源禀赋和发展现状,从产业生产条件、产业经营效益、产业多功能性、产业可持续发展4个方面,分14个指标构建了现代农业产业发展水平评价指标体系。然后选取西部11省区市2011—2021年的面板数据,采用熵权TOPSIS综合评价模型对其进行评价和比较分析。结果表明:上述区域现代农业产业发展态势良好,总体上呈现北方高于南方的地域性梯度差异,且不同省区市之间发展水平存在明显分层,不同分项水平变化趋势各异且存在一定程度的短板。针对西部地区现代农业产业面临发展速度缓慢及发展不均衡的双重难题,本文提出南北协同发展,缩小地域差异;科技创新,巩固乡村振兴成果;多维优化,培育农业产业新业态以及因地制宜,发挥生态优势等对策建议。

     

    Abstract: As a big agricultural country, the development level of modern agriculture has a direct influence on the trend of future economic development and the achievement of agricultural power target. It is crucial to enhance the development level of modern agriculture in western regions, which will contribute to the comprehensive construction of a strong agricultural country and better promote the achievement of the national rural revitalization strategy goals. According to the resource endowment and development status of western China, this study constructed a modern agricultural industry development level evaluation index system divided into 14 indicators from four aspects: industrial production conditions, industrial management efficiency, industrial factor integration and industrial green development. Then selected the panel data of 11 western provinces and regions from 2011 to 2021, and the entropy weight TOPSIS comprehensive evaluation model was used to evaluate and compare them. The results showed that, the development trend of modern agricultural industry in the above regions was good, and the regional gradient difference of the north was higher than that of the south in general, and the development level of different provinces and regions was obviously stratified, and the change trend of different sub-levels was different and there was a certain degree of shortcomings. In view of the dual problems of slow development and unbalanced development of modern agricultural industry in western China, this article proposed that, North and South jointly develop to reduce regional disparities; Science and technology innovation to consolidate rural revitalization achievements; Multi-dimensional optimization, cultivating new forms of agricultural industry and adapting to local conditions, giving play to ecological advantages and other countermeasures and suggestions.

     

/

返回文章
返回