首页
期刊介绍
基本信息
微学报
期刊简介
获奖情况
被收录情况
文献计量学指标
期刊在线
优先发表
当期目录
过刊浏览
阅读排行
下载排行
编委会
订阅指南
下载中心
联系我们
English
高级检索
所有
标题
作者
关键词
摘要
DOI
栏目
地址
基金
中图分类号
首页
期刊介绍
基本信息
微学报
期刊简介
获奖情况
被收录情况
文献计量学指标
期刊在线
优先发表
当期目录
过刊浏览
阅读排行
下载排行
编委会
订阅指南
下载中心
联系我们
English
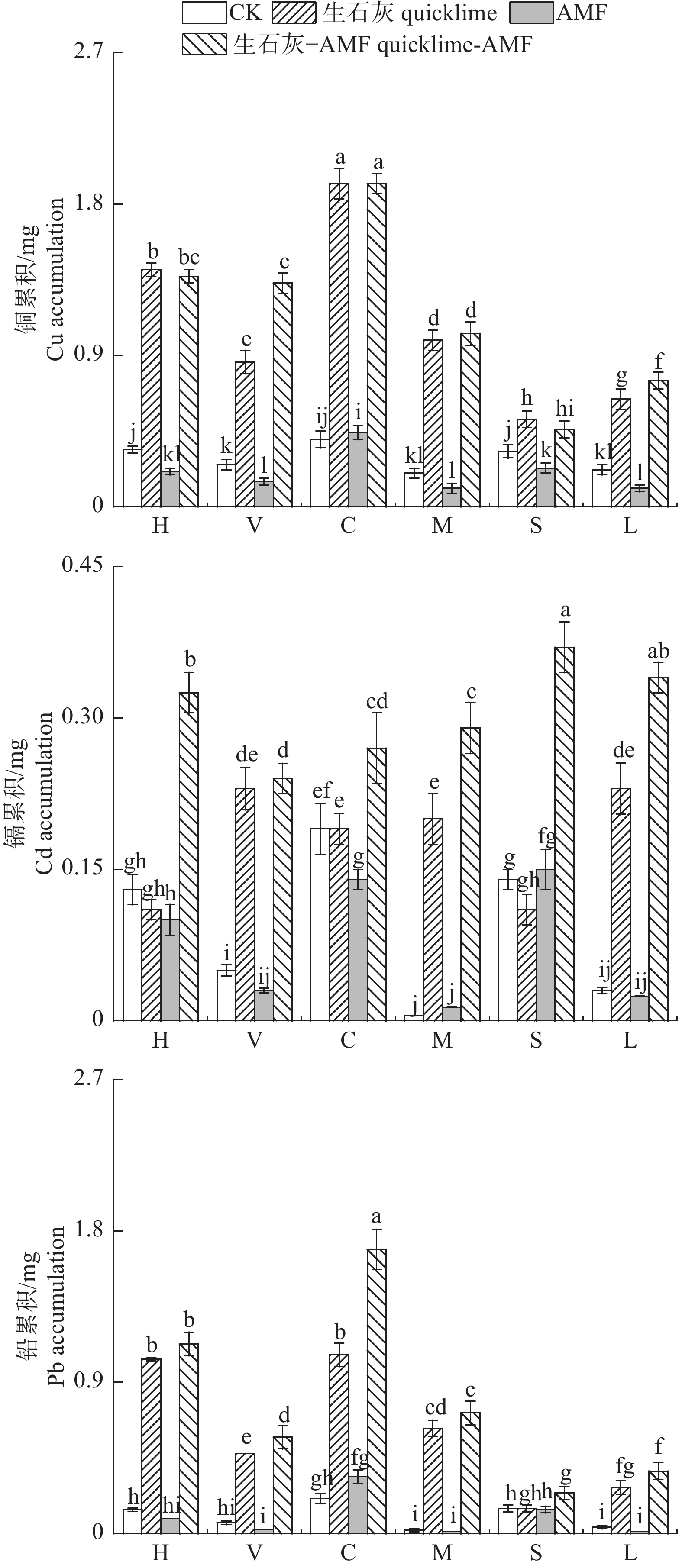
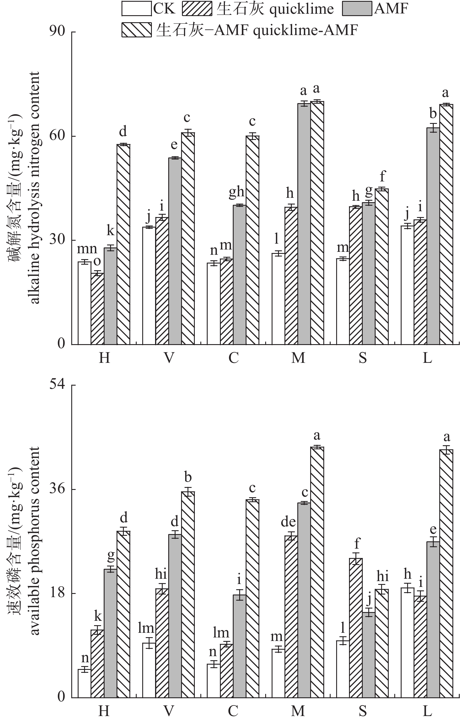
生石灰—丛枝菌根真菌对酸性锡尾矿化学性质及6种草本植物生长的影响
邓琪
,
包立
,
秦芙蓉
,
吴慧
,
夏云霓
,
岳献荣
,
夏运生
Effects of the Quicklime-Arbuscular Mycorrhizal Fungi on Main Chemical Properties of Acid Tin Tailings and Plant Growth for Six Kinds of Herbs
DENG Qi
,
BAO Li
,
QIN Furong
,
WU Hui
,
XIA Yunni
,
YUE Xianrong
,
XIA Yunsheng
HTML全文
图
(5)
表
(2)
参考文献
(26)
相关文章
施引文献
资源附件
(0)
HTML全文
参考文献
(26)
相关文章
施引文献
资源附件
(0)
/
下载:
全尺寸图片
幻灯片
返回文章
分享
用微信扫码二维码
分享至好友和朋友圈
返回